MPCM
This blog is a brief introduction of the essay “multiscale patch-based contrast measure for small infrared trage detection”,we call the algorithm MPCM later.
Infrared(IR) small target detection plays an important role in IR guidance system. Most IR target detection method focues on enhance the target and suppress background, MPCM follows the similar way. MPCM is inspired by bioligical method or we can call it human visual system. Since that in our visual streams, contrast is very important. In our visual system, we always modify or find a object by contrast, for example, it has more vivid color and brighter or darker than the background. MPCM use this method, firstly, local contrast of each pixel of input image is computed by the defined patch difference on each scale, then we obtain the final contrast map by taking maximum value between different scales. In the final contrast map, the MPCM of a pixel means the probability of it belonging to the target region. The detailed algorithm are as follows:
Compute the dissimilarity
One thing the essay mentioned is that, for a detection task, a sliding window is a essential part. The essay divide sliding windows into two parts: central part and the surrounding part, we can see it as the figure below:
The essay devide the surrounding parts into 8 patches Bi,i = 1,2,……8. The dissimilarity between each patch and the central part can be calculated as below:
Where d in the similarity measure, we defined it be d(T,bi) = mT - mBi where mT and mBi are the means of the central patch and each surrounding patch.
Compute local contrast
Based on the previous dissimilarity measure, we can calculate the dissimilarity between the central patch and the background patches on the i-th direction:
If ~di calculated here are greatere than 0, it means that the d(T,Bi) and d(T,Bi+4) have the same signs. This means that the central part is brighter or darker in this direction.
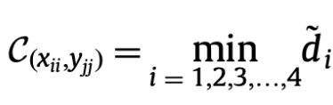
Computer patch-based contrast measure(PCM)
To enhance the target, the contrast between the target and the surrounding region should be as large as possible. So we can take the minimum distancn between the central patch and its surrounding as a measure of contrast. So we can compute the patch-based contrast measure(PCM) by:
In practice, we can computer the local contract on a given scale by filtering operations. We first filter the input image by the mean filter by the given size(N*N), thus we can get the mean value of each N * N part. Then, we use 8 filters to filter the filtered image calculated by the previous step:
the value of other parts in filter expect 1 and -1 in each filter are 0(there are 79 zeros). By this way, we can calculate d(T,Bi)(i = 1,2,……8). Then we can calculate the other parameters are as before.
Reference:
Y. Wei, X. You, and H. Li, “Multiscale patch-based contrast measure for small infrared target detection,” Pattern Recognit., vol. 58, pp. 216–226, 2016